最新研究:接种三针灭活疫苗,Omicron中和能力反而降低?
通常来说,接种新冠疫苗和既往感染过新冠,都可以在一定程度上形成免疫保护,降低再次感染的风险,提升人体对病毒的免疫抵抗力。不过,最近一项来自上海交通大学团队的研究发现,重复接种原始株灭活疫苗且发生 Omicron 株突破性感染后,体内针对 Omicron 株的中和活性反而减弱。
2023 年 1 月 25 日,这项题为 Repeated vaccination of inactivated SARS-CoV-2 vaccine dampens neutralizing antibodies against Omicron variants in breakthrough infection 的研究以 Letter 形式发表于 Cell Research 上。
研究收集了来自上海的 135 份 BA.2 感染者血清样本,其中 24 人从未接种新冠疫苗,56 人接种 2 剂灭活疫苗,55 人接种 3 剂灭活疫苗。
结果显示,与接种 2 剂新冠疫苗的人相比,接种 3 剂的「高抗原始毒株中和抗体」水平更高,但「高抗 Omicron 突变株中和抗体」水平却下降了。
同时,与接种 2 剂新冠疫苗的人相比,接种 3 剂的抗 BA.2、BA.4 和 BA.5 中和抗体几何平均滴度均显著下降。
图源:参考资料 1
研究团队认为,这些结果表明,重复接种疫苗可能会唤起对原始毒株的强烈免疫反应,但同时也会抑制对新突变株的免疫反应。
这一现象在免疫学中被称为免疫印记(immunological imprinting),或抗原原罪(original antigenic sin)。
抗原原罪:新的抗原激活老的免疫
抗原原罪指的是当免疫系统对某个抗原建立免疫记忆后,再遇到一个类似但稍有不同的新抗原时,会优先激活针对最初抗原的免疫反应。
但是,新的抗原与原始抗原本身还是存在一定区别,因此,这样的受原始抗原「影响」的免疫反应在应对新抗原时就不是「最优」的了,故有「原罪」一说。
抗原原罪这个概念最早在流感中出现。20 世纪 60 年代时有科学家提出,人体针对流感产生的抗体主要取决于第一次接触的流感病毒株,以后再感染时,哪怕病毒株已经因为突变产生了「抗原漂变」、与原来的病毒株有了差异,人体产生的免疫反应还是以针对最早接触的流感病毒株为主。
目前,抗原原罪已被认为与登革热病毒、流感病毒、HIV 病毒有关。
一个可能的例子是 1918 年 H1N1 西班牙流感大流行,当时,分年龄阶段的死亡率在 28 岁段达到峰值。而这个年龄段对应的出生年份是 1880 年,彼时正是 H3Nx 俄罗斯流感大流行时期。
有推测认为,之所以在 28 岁出现死亡率峰值,这是因为这个年龄段的人群在幼儿时期对 H3Nx 产生了强大的免疫记忆,到了二十多年后,再次暴露于 H1N1 时,新的抗原激活了老的免疫,但产生的免疫应答无法很好地抵御 H1N1,因此死亡风险增加。
图源:参考资料 2
登革热的例子则更为极端。
登革热病毒有四个主要的血清型。只要感染过其中一种,或者如果以一种血清型的病毒制作疫苗进行接种,抗原原罪的反应程度就足以强到今后遇到其它任何一个血清型,产生的抗体主要是针对最初那个血清型的,而对其它血清型无效。
在新冠疫情中,也有一些研究观察到了抗原原罪现象。
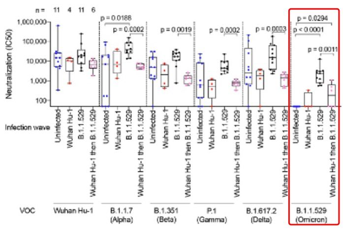
如 2022 年 6 月,Science 一篇题为 Immune boosting by B.1.1.529 (Omicron) depends on previous SARS-CoV-2 exposure 的论文发现,接种三针 mRNA 新冠疫苗后,早期曾感染过原始毒株的人,再感染了 Omicron 后,针对 Omicron 的中和抗体虽然相对未感染或只感染原始毒株的有一定增加,但却要明显低于没有感染过原始毒株只感染了 Omicron 的人群。
图源:参考资料 3
原始病毒株的感染史,同样「干扰」了人体对于 Omicron 感染的常规免疫反应诱导。这一现象也证实了新冠病毒感染中抗原原罪现象的存在。
那么,抗原原罪的存在是否意味着既往感染和疫苗接种失效?
实际上,抗原原罪带来的实际影响因病原体的不同而有所区别,可能只是影响免疫反应的程度,而并非让免疫反应完全失效,像登革热的极端现象并不普遍存在。
更多真实世界的数据显示,过往感染以及疫苗接种对 Omicron 的重症保护作用仍然良好。同时,还有一些研究显示,在接种完疫苗后人体对新冠的免疫识别广度也在增加,这个过程会在接种完疫苗后的好几个月里持续发生。
Cell 上的一篇论文显示,接种完两种 mRNA 疫苗后,虽然中和抗体滴度随时间下降,但中和抗体本身的中和能力却随时间在提升。接种完第三针增强针后,那些能识别包括 Omicron 在内各种突变株的记忆 B 细胞又被迅速激活,产生大量中和效率非常高的抗体。
图源:参考资料 4
另一篇研究 Omicron 突破性感染后记忆 B 细胞变化的论文则发现,发生突破性感染后,记忆 B 细胞的应对也是非常讲究「策略」,主要扩增了那些识别各突变株的保守区域的记忆 B 细胞。
以上的研究相互佐证:人体对新冠的免疫识别具有高度灵活性,即便最初接触的抗原是原始病毒株或某个突变株,最终的免疫记忆却能有很好的广度。
而在此次发表于 Cell Research 的最新研究中,研究团队同样指出,与 2 剂疫苗组相比,3 剂疫苗组对 Omicron 突变株的中和抗体活性虽然降低了,但这两组之间的临床症状相似,并且接种 3 剂疫苗已被证明能够降低感染后的重症和死亡风险。
研究团队强调,这项研究仅限于接种疫苗后的突破性感染者,对于大多数人而言,仍然强烈建议进行新冠疫苗加强接种以预防重症。
二价疫苗引争议:什么样的加强针更好?
关于抗原原罪,还有一些声音表达了对 Omicron 突变株疫苗的担心:接种过原始毒株疫苗的人再去接种针对 Omicron 设计的疫苗,是否也会存在抗原原罪?针对 Omicron 设计的疫苗还会有保护作用吗?
一项来自哥伦比亚大学的研究收集了 40 人的血清样本,这些人接种了三剂单价 mRNA 疫苗及第四剂(二价或单价疫苗)。比较发现,针对原始毒株和 Omicron BA.4/BA.5 等亚株,与使用原始单价疫苗进行第四针加强相比,使用二价疫苗没有引发显著优越的病毒中和抗体反应。
另一项发表于 NEJM 的研究观察了 33 名疫苗接种者针对 BA.5 的免疫原性,结果接种单价和二价 mRNA 疫苗加强针后,针对 BA.5 的中和抗体滴度中值相似。
两项研究均提出,抗原原罪现象可能成为二价疫苗的阻碍。
费城儿童医院的疫苗专家 Paul Offit 引用上述研究数据认为,二价疫苗不一定优于原始单价疫苗。在 FDA 疫苗与相关生物制品咨询委员会(VRBPAC)中,Offit 也是投票反对二价加强针的专家之一。
他还引用了此前辉瑞针对 BA.1 研发疫苗的数据,其中,相比较低剂量的二价疫苗(30 微克),单价 BA.1 疫苗或更高剂量(60 微克)的二价疫苗显示出更强的 BA.1 特异性中和抗体反应。据此,Offit 建议,单独使用 BA.4/5 mRNA 疫苗成分可能会引起更符合预期的免疫反应。
不过,也有不少专家支持二价加强针的使用。
Scripps Research 分子医学教授 Eric Topol 认为,大量数据表明二价加强针的表现要好于预期。他引用四项使用活病毒评估中和抗体反应的预印本研究,数据表明,与原始疫苗相比,更新后的二价疫苗针对 BA.5 的中和抗体增加了 2~8 倍,针对 XBB 的中和抗体增加了 2~6 倍。
同时,Topol 还指出,几项真实世界研究也表明了二价加强针的有效性。如以色列一项针对超过 700,000 名 65 岁及以上参与者的研究发现,接受二价加强针的人新冠住院的风险降低了 81%,死亡风险降低了 86%。同样,美国 CDC 一项研究发现,65 岁及以上人群接种新的加强针后,住院风险降低了 73%~84%。
2022 年 6 月 17 日,WHO 在研究了 Omicron 感染以及 Omicron 版疫苗研发的数据后建议,在现有疫苗完成基础免疫后,可以用 Omicron 版疫苗作为增强针。
刚刚过去的 2023 年 1 月 26 日,FDA 疫苗与相关生物制品咨询委员会(VRBPAC)以 21:0 通过一项决议,支持将现行的「基础针+加强针」的新冠疫苗注射流程,优化为每年只需接种一剂二价新冠疫苗(原始毒株 + Omicron BA.4/BA.5 毒株)。
不过,也有一些专家对此表示了担忧。有学者指出,双价疫苗作为初免疫苗的有效性数据还很少,而由于抗原原罪现象的存在,加入原始毒株可能会削弱疫苗对 Omicron 突变株的有效性。
FDA 表示,专家组将在 5 月或 6 月再次召开会议,讨论是否正式决定更改疫苗配方,及更新后的疫苗应该只包含一种新冠毒株,还是包含多种新冠毒株。
2022 年 12 月 4 日,北京神州细胞生物研发的二价(Alpha/Beta 变异株)S 蛋白疫苗被纳入紧急使用,这也是我国目前唯一纳入紧急使用的多价新冠疫苗。中国疾控中心流行病学首席科学家曾光也公开呼吁,「第四针一定要变换疫苗,不能再用灭活疫苗了」。
此外,神州细胞的四价(Alpha/Beta/Delta/Omicron 变异株)S 蛋白疫苗也正在研发中,国药中生针对 Omicron BA.1 的广谱重组疫苗也已进入 III 期临床。
什么样的疫苗更适合作为加强针?什么样的接种方案能够提供更好的免疫?抗原原罪对新冠的影响程度究竟如何?这些问题都还需要大量免疫学研究、疫苗有效性追踪等数据来验证,进而启发如何设计更广谱更高效的疫苗。(策划:z_popeye|监制:gyouza)
致谢:本文经 中国科学院微生物学博士、知名科学博主 @二手的科学家 专业审核
感谢 周叶斌 对本文做出的贡献
题图来源:论文截图
参考资料:
[1]https://www.nature.com/articles/s41422-023-00781-8
[2]https://www.ncbi.nlm.nih.gov/pmc/articles/PMC4050607/
[3]https://www.science.org/doi/10.1126/science.abq1841
[4]https://www.cell.com/cell/fulltext/S0092-8674(22)00456-1
[5]https://www.nejm.org/doi/full/10.1056/NEJMc2213907?query=featured_home
[6]https://www.nejm.org/doi/full/10.1056/NEJMc2213948
[7]https://www.nature.com/articles/d41586-023-00234-7
[8]https://www.medpagetoday.com/infectiousdisease/covid19vaccine/102604
[9]https://www.advisory.com/daily-briefing/2023/01/17/covid-immunity



















